题目链接
写在前面
比赛时只想到操作 2 的做法,于是只能写个暴力 60pts+ 只有操作 2 的 20pts 滚粗走人了。
考试结束跟学长一交流,瞬间感觉自己够傻,谨以此篇题解作为纪念。
题意
给定长度为 n 的序列 a,b 和 m 种操作。
每次操作给出 opt,u,v,意义如下:
- 当 opt=1 时,可使 au←au−1,av←av−1 或 au←au+1,av←av+1;
- 当 opt=2 时,可使 au←au+1,av←av−1 或 au←au−1,av←av+1。
每种操作均可实现任意次,问能否把序列 a 转为序列 b。
思路
这题实际上是道图论题(题目中的 u,v 就在提示)。
先将 ai 减去 bi ,题目即为询问 ∀ 1≤i≤n,ai=0 是否可行。
对于操作 2,显然 u,v 两点的总和不变,将它们用并查集合并(缩点)。
显然只要某个联通块 S,只要 ∑i∈Sai=0,则它一定可以只通过操作 2 使得 S 内所有点 a 值都为 0。
对于每个点,我们再用操作 1 把它们连接起来(边权为 1),形成一张图。
答案即为用操作 1 能否将一个个点的 a 值都清零。
- 当图中存在自环,则这个点的值可以任意增加 2i(i∈Z);
- 当有任意两点距离为偶数,则这两个点实际上可以再次合并;
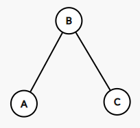
如下图 A,C 两点,我们可以让 A,B 同时加 1、B,C 同时减 1 的方法使 A,C 达到操作 2 的效果。

- 处理完之后,整张图就只剩下相邻的点对和奇偶环。
- 对于相邻的点对,我们尽量使其中一点 a 值为 0,如果另外一点值无法做到清零,则答案即为不可行。
- 对于奇环,环上任意两点都可以通过偶数条路径到达,所以它其实也可以看成一个点(而且可以自身加减 2);
- 对于偶环,我们可以用点对的处理方式处理。
所以每扫到一个联通块,如果它是奇环,则只要它的总和是偶数即可转化成全 0 状态,否则要求它的所有点能通过相邻边同时加减而得到全 0 状态。
实现
只要有一个联通块不能清零,则答案为 NO,否则为 YES。
代码
1 2 3 4 5 6 7 8 9 10 11 12 13 14 15 16 17 18 19 20 21 22 23 24 25 26 27 28 29 30 31 32 33 34 35 36 37 38 39 40 41 42 43 44 45 46 47 48 49 50 51 52 53 54 55 56 57 58 59 60 61 62 63 64 65 66 67 68 69 70 71 72 73 74 75 76 77 78 79 80 81 82 83 84 85 86 87 88 89 90 91 92 93 94 95 96 97 98 99
| #include<cstdio> #include<cctype> #include<cstring> #include<algorithm> using namespace std; const int N=1e5; int t,n,m,cnt,fa[N+1],tot,fir[N+1],dep[N+1]; long long val[N+1]; bool ans; struct operation { int x,y; }o[N+1]; struct edge { int to,nex; }e[(N<<1)+1]; int read() { int res=0; char c=getchar(); while(!isdigit(c)) { c=getchar(); } while(isdigit(c)) { res=(res<<3)+(res<<1)+c-'0'; c=getchar(); } return res; } void init() { cnt=tot=0,ans=1; memset(fa,0,sizeof(fa)); memset(fir,0,sizeof(fir)); memset(dep,0,sizeof(dep)); return; } int find(int x) { return fa[x]?fa[x]=find(fa[x]):x; } inline void add(int u,int v) { e[++tot]=edge{v,fir[u]}; fir[u]=tot; return; } bool dfs(int u) { bool ret=0; for(int i=fir[u],v;v=e[i].to,i;i=e[i].nex) { if(!dep[v]) { dep[v]=dep[u]+1; ret|=dfs(v); val[u]-=val[v],val[v]=0; } else { ret|=((dep[u]-dep[v])^1)&1; } } return ret; } int main() { t=read(); while(t--) { init(); n=read(),m=read(); for(int i=1;i<=n;++i) { val[i]=read(); } for(int i=1;i<=n;++i) { val[i]-=read(); } for(int opt,x,y;m;--m) { opt=read(),x=read(),y=read(); if(opt==1) { o[++cnt]=operation{x,y}; } else { x=find(x),y=find(y); if(x==y) { continue; } fa[y]=x,val[x]+=val[y]; } } for(int i=1;i<=cnt;++i) { o[i].x=find(o[i].x),o[i].y=find(o[i].y); add(o[i].x,o[i].y),add(o[i].y,o[i].x); } for(int i=1;i<=n;++i) { if(fa[i]||dep[i]) { continue; } dep[i]=1; ans&=!(dfs(i)?val[i]&1:val[i]); } puts(ans?"YES":"NO"); } return 0; }
|